01 - 11
2016
Celles et ceux qui souffrent d’une fatigue chronique pourraient très bien réagir aux suppléments contenant du NADH et du CO Q10. C’est ce que des chercheurs espagnols de l’Université Autonome de Barcelone ont découvert au cours d’une étude sponsorisée. Les résultats de l’étude espagnole semblent également indiquer que le NADH serait tout aussi digne d’intérêt pour les athlètes.
NADH et NAD +
Le NADH est la forme réduite du coenzyme NAD+. Le NAD+ joue un rôle important au niveau cellulaire pour toutes sortes d’enzymes impliquées dans les processus de combustion de l’énergie et de réparation. À l’heure actuelle, les chercheurs « anti-âge » se demandent s’il serait possible d’améliorer les performances physiques et de retarder le vieillissement en augmentant la concentration de NAD+ cellulaire. Un supplément de nicotinamide riboside est une façon d’y parvenir. La supplémentation en NADH en est une autre.
L’étude en question
Les chercheurs ont réalisé une expérience avec 73 femmes, âgées de 18 à 65 ans. Toutes luttaient contre le syndrome de fatigue chronique. Ils ont donné à la moitié d’entre elles un placebo chaque jour et à l’autre moitié, une dose journalière de 20 mg de NADH [formule structurale ci-dessous], 200 mg de Co Q10 [formule structurale à droite], 80 mg de phosphatidylsérine et 160 mg de vitamine C.
Le sponsor de l’étude scientifique
Les suppléments que les chercheurs ont utilisé ont été fabriqués par Vitae Natural Nutrition. Cette entreprise a parrainé l’étude, l’un des employés de la société était également directeur de recherche.
Les résultats de l’étude sur le NADH
Au cours des huit semaines qu’aura duré l’expérience, les sujets ont déclaré ressentir moins de fatigue lorsqu’ils ont rempli l’Échelle d’Impact de la Fatigue [FIS]. Le score maximum du test était de 160, le plus bas de 0. Plus vous notez un score élevé, moins vous êtes fatigué. L’effet de la supplémentation s’est avéré significatif mais pas excessivement important.
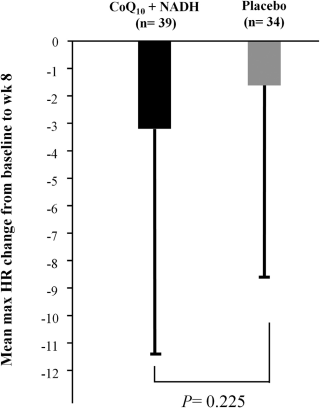
Les chercheurs ont demandé à leurs sujets de faire du cycle jusqu’à l’épuisement à deux reprises: juste avant de commencer la période de supplémentation et après qu’ils aient pris le supplément pour la dernière fois. Pendant le test, les sujets ont dû pédaler un peu plus fort à chaque minute. Les scientifiques espagnols n’ont noté aucune amélioration significative durant la période de temps où les sujets pouvaient maintenir l’exercice de cycle. Ils ont cependant remarqué que le rythme cardiaque des utilisateurs de suppléments diminuait significativement au cours du test. Cela n’a pas eu lieu dans le groupe placebo.
Quels mécanismes réduisent la fatigue chronique avec le supplément de NADH et de Co Q10 ?
Dans une autre publication [Antioxid Redox Signal. 2015 Mar 10;22(8):679-85], les chercheurs ont décrit comment la supplémentation avec du NADH et du Co Q10 atténuait probablement le syndrome de fatigue chronique. Dans cet article, les chercheurs espagnols expliquent que le supplément stimulerait la concentration de NADH dans les cellules et réduirait le nombre de marqueurs sanguins en relation à l’activité des radicaux libres.
En outre, la supplémentation a stimulé la concentration d’ATP et l’activité de l’enzyme citrate synthase dans les cellules. Le citrate synthase est une enzyme clé du cycle de l’acide citrique, une réaction complexe où les cellules convertissent les nutriments en énergie.
Conclusion de l’étude
«Cette étude randomisée sur 8 semaines en double aveugle et contrôlée par placebo suggère que la supplémentation en CoQ10 + NADH pourrait être un traitement sûr, bien toléré et potentiellement utile», ont résumé les chercheurs. «La supplémentation en CoQ10 et NADH a amélioré significativement la réduction de la fréquence cardiaque maximale pendant le test de stress ergométrique ainsi que la fatigue perçue pour le syndrome de fatigue chronique».
«De plus larges essais avec des interventions de suivi à plus long terme sur des populations plus homogènes de syndrome de fatigue chronique sont dès lors justifiées».
Source de l’article: How a combination of NADH and Co Q10 fights fatigue
Source Ergo-log: Clin Nutr. 2016 Aug;35(4):826-34.
Traduction pour Espace Corps Esprit Forme,
Eric Mallet




5 Commentaires
Bonjour Eric,
Tout le monde dit que l’ubiquinol s’assimile mieux et est plus efficace que l’unbiquinone dans le CoQ10.
Quel est votre avis?
Merci
Bonjour,
Oui, c’est exact. L’ubiquinol est la forme active du CoQ10. Il est mieux assimilé que l’ubiquinone. Cela se traduit aussi par une différence de prix à l’achat. Cela n’empêche pas que l’ubiquinone soit déjà une molécule intéressante sur de nombreux critères, antioxydant, énergie et santé cardiovasculaire.
Merci pour votre question.
Sportivement,
Eric
Bonjour et félicitations pour l’ensemble de votre travail. Je vous lis par intermittence (quand les articles peuvent potentiellement me concerner le plus souvent). Âgé de 53 ans, je consomme depuis peu de l’ubiquinol de chez NM. Malheureusement cette marque qui ne propose pas de NAD quelqu’en soit la forme. Ma question est simple : auriez-vous un vendeur à me préconiser ?
Bonjour Laurent,
Merci beaucoup pour votre message et votre intérêt pour mon blog. Généralement, je ne donne pas de liens vers des sites en particulier car je ne préfère pas m’impliquer dans les choix de supplémentation des personnes qui me contactent. Cependant, j’ai posé le sujet depuis plusieurs articles. Sunday Natural (marque allemande), en propose sur son site: https://www.sunday.fr/nadh-5mg-gelules.html?_gl=1*lwxg7o*_up*MQ..&gclid=CjwKCAiA-dCcBhBQEiwAeWidtYTIKeC6kFgZQ0H_FAnGO85WUbqpZYu7tJHsdr1NJszwZOkZ5VHjtxoCOwAQAvD_BwE ainsi que de l’ubiquinol. Vous pouvez également vous tourner vers Youth & Earth qui est aussi un site de confiance: https://eu.youthandearth.com/products
Sportivement,
Eric Mallet
Au regard de votre emploi du temps qui doit être bien chargé je vous remercie pour votre disponibilité et la précision de votre réponse. Bonne continuation à vous et merci encore de nous faire partager les résultats de vos recherches.